⏱️ 0:00
Docente: Fabio Cop (fcferreira@unifesp.br) | Curso: Bacharelado Interdisciplinar em Ciências do Mar - Bict Mar | UC: Probabilidade e Estatística - Aula 01

Coleta de Dados

Acesse e responda o formulário abaixo.

🎲 Agora acesse e responda o segundo formulário.

Contrastando Hipóteses

Da formulação de modelos à razão de verossimilhanças

Probabilidade e Estatística

nas Ciências do Mar

📊 Monitorar ambientes marinhos e costeiros (praias, recifes, estuários, ...)

🐟 Estimar estado e trajetória de populações e comunidades marinhas

🌊 Modelar correntes oceânicas e processos físicos

🔬 Analisar dados ambientais e oceanográficos

🎯 Definir e avaliar estratégias de monitoramento e gestão ambiental

Tudo depende de confrontar dados com modelos

O que acabamos de fazer?

Formulário 1: Dado mental (simulado mentalmente)

Formulário 2: Dado físico (lançado de verdade)

Experimento: O lançamento do dado físico serve de controle para o dado mental

✅ Os dados estão coletados, mas ninguém viu os resultados ainda!

Antes de abrir qualquer planilha, vamos fazer o que toda boa ciência faz:
Definir o que esperamos encontrar

Roteiro da Aula

  1. Formular expectativas (hipóteses) antes de observar os dados
  2. Traduzir hipóteses em modelos probabilísticos
  3. Explorar os dados: confrontar expectativa com observação
  4. Quantificar a compatibilidade entre modelos e dados (verossimilhança)
  5. Comparar as hipóteses: razão de verossimilhanças

Hipóteses Antes da Análise

O que esperamos encontrar nos 🎲?

Pensem no dado físico...

Se juntarmos os resultados de toda a turma em um gráfico de frequência,
como vocês esperam que o gráfico se pareça?

💭

O gráfico de frequência esperado

Se o dado for justo, esperamos que cada face apareça aproximadamente 1/6 das vezes

Gráfico de barras uniforme com linha em y=1/6

Gráfico de Frequência $\leftrightarrow$ Hipótese $\leftrightarrow$ Modelo

A expressão abaixo descreve um modelo probabilístico:

$$M_1: P(X = k) = \frac{1}{6} \text{ para todo } k$$

O modelo é uma representação matemática do que esperamos observar
se nossa hipótese do Dado Justo for verdadeira

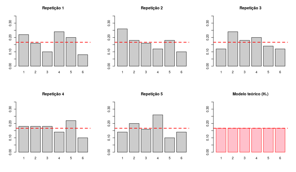
Variabilidade Natural

Mesmo com um dado perfeitamente justo, cada repetição do experimento produzirá resultados um pouco diferentes

Cinco turmas simuladas e modelo teórico H1
A pergunta-chave: A diferença que observarmos pode ser explicada pela hipótese do dado justo, ou temos outra hipótese que explica melhor o resultado?

E o dado mental?

O padrão resultante vai produzir uma distribuição aproximadamente uniforme, parecida com a de um dado justo?

💭

Se não for uniforme...

🤔 Como vocês acham que seria?

Quais números tenderiam a ser escolhidos com mais ou menos frequência?

Hipótese 2: Viés Central

H₂: As pessoas preferem o centro e evitam os extremos

Face 1 2 3 4 5 6
p 1/14 2/14 4/14 4/14 2/14 1/14

Duas Hipóteses Definidas

H₁: Uniforme

Todas as faces igualmente prováveis

$$M_1: \quad p_k = \frac{1}{6}$$

H₂: Viés Central

Centro mais provável, extremos raros

$$M_2: \quad p_3 = p_4 = \frac{4}{14}$$

Princípio fundamental: Na ciência, precisamos de pelo menos duas hipóteses para comparar.

O Princípio Epistemológico

O que temos agora?

  • Conjuntos de dados experimentalmente robustos (controle + tratamento)
  • Duas hipóteses formuladas antes de abrir qualquer resultado
  • Um modelo probabilístico específico para cada hipótese
  • Uma percepção coletiva sobre qual hipótese é mais plausível
  • Ainda não vimos os dados!

Explorando os Dados

Confrontando Expectativa com Realidade

Lendo a planilha de dados

e visualizando o gráfico de frequências

Link para Notebook no Google Colab

Hipóteses $\leftrightarrow$ Modelos $\leftrightarrow$ Dados

Temos duas hipóteses,
cada uma descrita por um modelo probabilístico diferente

Como quantificar o modelo mais compatível com os dados?

Verossimilhança

Quantificando a Compatibilidade entre Hipóteses e Dados

A Lógica da Verossimilhança

Se temos um modelo que atribui probabilidades a cada resultado possível de um experimento, podemos medir quão compatível o modelo é com os dados que de fato temos em mãos.

A verossimilhança é a função que associa os dados a este modelo de probabilidade.

Probabilidade $\neq$ Verossimilhança

Probabilidade

Olha para frente: dado um modelo, qual a chance de observar um resultado?

$$P(\text{dados} \mid H)$$

O modelo é fixo, o resultado varia

Verossimilhança

Olha para trás: dado que observamos um resultado, quão plausível é o modelo?

$$\mathcal{L}(H;\text{dados})$$

Os dados são fixos, o modelo varia

O valor numérico de $\mathcal{L}(H;\text{dados})$ é calculado como $P(\text{dados} \mid H)$. A diferença está na interpretação: a verossimilhança mede a plausibilidade de hipóteses, não de resultados.

Fórmula da Verossimilhança para 🎲

$$\mathcal{L}(H;\text{dados}) = \prod_{k=1}^{6} p_k^{n_k}$$

Onde $p_k$ é a probabilidade que o modelo atribui à face $k$,
e $n_k$ é quantas vezes essa face apareceu

Em log (mais prático para computação):

$$\log \mathcal{L}(H;\text{dados}) = \sum_{k=1}^{6} n_k \cdot \log(p_k)$$

Entendendo a fórmula da verossimilhança

Link para Leitura Prévia — Aula 01

Calculando no R: verossimilhança de H₁


# Definir as probabilidades associadas ao modelo H1
p_h1 <- rep(1/6, 6)

# Calcular a log-verossimilhança para o dado físico
loglik_h1_fisico <- sum(freq_fisico * log(p_h1))

# Calcular a log-verossimilhança para o dado mental
loglik_h1_mental <- sum(freq_mental * log(p_h1))
                    

A necessidade de hipóteses múltiplas

Na ciência, nunca avaliamos uma hipótese isoladamente.

Sempre comparamos:
este modelo versus aquele modelo
esta explicação versus aquela explicação

Calculando no R: verossimilhança de H₂


# Definir as probabilidades associadas ao modelo H2
p_h2 <- c(1, 2, 4, 4, 2, 1) / 14

# Calcular a log-verossimilhança para o dado físico
loglik_h2_fisico <- sum(freq_fisico * log(p_h2))

# Calcular a log-verossimilhança para o dado mental
loglik_h2_mental <- sum(freq_mental * log(p_h2))
                    

Razão de Verossimilhanças

A Comparação em Ação

$$\Lambda = \frac{\mathcal{L}(H_2;\text{dados})}{\mathcal{L}(H_1;\text{dados})}$$

$$\log \Lambda = \sum_{k=1}^{6} n_k \cdot \log\!\left(\frac{p_k^{(H_2)}}{p_k^{(H_1)}}\right)$$

Para cada face, medimos o quanto H₂ prevê a mais ou a menos que H₁, ponderado pelo número de vezes que a face apareceu

Interpretação da Razão de Verossimilhanças

$$\Lambda = \frac{\mathcal{L}(H_2;\text{dados})}{\mathcal{L}(H_1;\text{dados})}$$

$\Lambda > 1$  ($\log\Lambda > 0$) dados mais compatíveis com $H_2$ do que com $H_1$
$\Lambda < 1$  ($\log\Lambda < 0$) dados mais compatíveis com $H_1$
$\Lambda = 1$ os dois modelos explicam os dados igualmente bem
$\Lambda = 10$ $H_2$ é 10 vezes mais compatível com os dados do que $H_1$
$\Lambda$ é uma razão de plausibilidades. Ela diz quantas vezes uma hipótese é mais compatível com os dados do que a outra.

Calculando a razão de verossimilhanças no R

Comparando H₁ e H₂ para cada tipo de lançamento


lambda_mental <- exp(loglik_h2_mental - loglik_h1_mental)
lambda_fisico  <- exp(loglik_h2_fisico  - loglik_h1_fisico)

cat("Razão H2/H1 — dado mental:", round(lambda_mental, 2), "\n")
cat("Razão H2/H1 — dado físico:", round(lambda_fisico,  2), "\n")
                    

Recapitulando a Aula 01

Etapa O que fizemos Conceito formal
1. Experimentação Geramos dados sob duas condições experimentais (dado mental e dado físico) Desenho experimental e grupo controle
2. Expectativas Formulamos previsões antes de ver os resultados Hipóteses H₁ e H₂. Raciocínio hipotético-dedutivo
3. Modelos probabilísticos Traduzimos as intuições em dois modelos concorrentes com probabilidades explícitas Modelo probabilístico e aleatoriedade
4. Análise exploratória Confrontamos os gráficos de frequência com as expectativas dos modelos Análise exploratória guiada por hipótese
5. Razão de verossimilhanças Quantificamos qual modelo é mais compatível com os dados observados Verossimilhança e razão $\Lambda$

🎲
Dúvidas?